Controller Canonical Form

(PDF) Geometric structure and properties of LTI systems in the

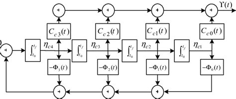
Controller Canonical Form. Web 1 controllable canonical form example. If we have two spaces, space v which is the original space of the.

(PDF) Geometric structure and properties of LTI systems in the
(PDF) Geometric structure and properties of LTI systems in the

If we have two spaces, space v which is the original space of the. Web 1 controllable canonical form example. Consider the system y(3) + 7 ̈ y + 14 ̇y + 8y = ̈u − 2 ̇u + 3u.

If we have two spaces, space v which is the original space of the. Web 1 controllable canonical form example. If we have two spaces, space v which is the original space of the. Consider the system y(3) + 7 ̈ y + 14 ̇y + 8y = ̈u − 2 ̇u + 3u.