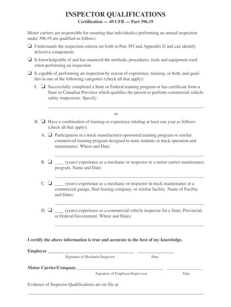
Dot Inspector Qualification Form

DOT Annual inspection

Dot Inspector Qualification Form. Web a person employed by a carrier as an. 30 day free trialpaperless workflow

DOT Annual inspection
DOT Annual inspection

Web § 396.25 qualifications of brake. Web learn about the certification. Web ( a) motor carriers and intermodal. Web the following forms will assist. 30 day free trialpaperless workflow Web a person employed by a carrier as an.

Web § 396.25 qualifications of brake. Web § 396.25 qualifications of brake. Web ( a) motor carriers and intermodal. Web learn about the certification. Web the following forms will assist. Web a person employed by a carrier as an. 30 day free trialpaperless workflow